2021-03-05

离子对试剂是一类常用的实验室试剂,将这类试剂加入到反相色谱流动相中可以增强离子样品的保留。使用离子对试剂可以改善疏水键合相表面的离子交换能力,可以在温和的流动相pH条件下更好地控制酸性或碱性样品的保留。
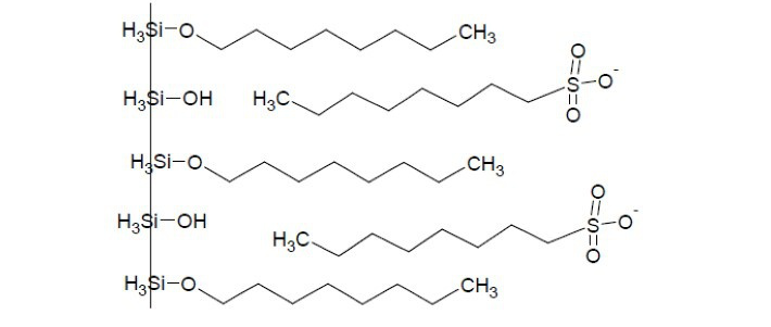
离子对试剂通过试剂上的疏水部分(常见的有庚烷基,十二烷基)与色谱柱固定相发生作用而吸附在柱床上,使固定相具有了一定的离子交换能力,从而增强对带相反电荷的分析物的保留。
例如常见的辛烷磺酸钠

离子对试剂是添加在流动相中的,但是其起作用的地方却是在色谱柱的固定相中。这里以辛烷磺酸钠为例子。添加在流动相中的离子对试剂随流动相进入色谱柱,然后离子对试剂会在色谱柱的固定相和流动相之间达到平衡。
根据同性相吸的原理,辛烷磺酸钠中的8个碳原子的碳链会被弱J性的色谱柱的固定相吸附,而大J性的磺酸根离子却裸露在色谱柱的固定相外面的流动相中。吸附了辛烷磺酸根离子的色谱柱固定相带上了负电荷,从而能吸附和保留带正电荷的化合物。 
除了提高色谱柱对目标化合物的保留能力,离子对试剂还有一个作用的是改善峰型。
反相色谱柱的固定相的基质主要是硅胶,硅胶表面有大量的羟基。在色谱柱制备过程中嫁接的固定相以及后期的封端工艺会消耗部分羟基,但是仍然有大量的羟基残留在硅胶基质表面。硅胶基质表面的硅羟基和化合物相互作用会造成拖尾峰。
前面讲到离子对试剂对会填充到固定相的缝隙中,这部分离子对试剂能很好的屏蔽硅胶表面残留的羟基。从而阻止了目标化合物和硅胶表面的羟基相互作用,改善了拖尾峰。
常用的离子对试剂
作用于酸性化合物:
四丁基氢氧化铵, 四丁基氯化铵(四丁基溴化铵),十二烷基三甲基氯化铵。
作用于碱性化合物:
辛烷磺酸钠等各种烷基磺酸盐
三F乙酸,五氟丙酸,七氟丁酸等全氟取代的直链有机酸。(全氟取代的直链有机酸比较特殊,既是离子对试剂也是调节pH的强酸)。
但是离子对试剂的使用也会不可避免引起一些问题,这里就给各位老师做个介绍。
可能出现的问题和解决方法
色谱柱平衡时间长
相对于不添加离子对试剂的反相色谱方法,离子对色谱法由于涉及到多种复杂的平衡过程,因此一般来说使用离子对试剂的色谱柱平衡时间相对较长。由于离子对试剂的浓度在2-5mmol/L甚至更低的浓度,它们要吸附在反相色谱柱填料的表面,表面浓度在0.5-2μmol/m2。1根4.6×250mm的色谱柱大约有3g填料,需要2mmol的离子对试剂才能完全的柱平衡。流动相浓度为2mmol时,需要一升流动相进行平衡。这当然是J端条件,但是用几百毫升的流动相去平衡色谱柱也是正常的。
由于平衡时间长,当使用离子对试剂时选择梯度洗脱方法可能会导致一系列的问题,比如保留值重现性较差、基线不稳及其它一些分离问题,因此通常不推荐离子对方法中使用梯度方法。但对于使用小分子离子对试剂如三F乙酸(TFA)和三乙胺(TEA)时,其柱平衡较快,使用梯度洗脱一般也没问题。
如果需要对色谱柱进行清洗,建议使用50%甲醇-水溶液冲洗维护。
峰形问题
通常加入离子对试剂会改善硅胶基质色谱柱上残留硅醇基团带来的峰形问题。如果在离子对方法中出现峰形问题,如峰前延等,通过改变温度可以解决。因此当遇到峰形不好或者理论塔板数下降时,可以研究一下温度变化对峰形的影响。
空白溶剂峰
在离子对方法中,当进行空白实验(即注入样品溶剂)时,正峰和倒峰有时候都会出现,这些异常峰也被称为空白溶剂峰。这些空白溶剂峰会干扰液相方法的建立或日常应用,因此在离子对方法建立之前和得到有希望的分离之后都应该进行空白实验。
空白溶剂峰问题通常是由流动相和样品溶剂之间的差异造成的,使用的缓冲盐纯度不够、加入了离子对试剂或者其他流动相添加剂都会放大这种影响。
离子对方法开发中的变量影响
离子对方法相比于普通反相方法,可以通过调节参数(包括pH、离子对试剂的类型和浓度、温度)来满足分离度等要求。
1. 流动相的pH:在离子对方法中pH不仅影响分析物的离子化程度,也影响加入的离子对试剂的离子化进度而影响与分析物的离子对作用,因此pH的改变对分析物保留的影响更加复杂。
2. 温度:离子对方法中温度的改变会引起相对保留值发生显著性的变化。温度会改变色谱柱上吸附的离子对试剂的量,因此控制温度对分离特别重要。
3. 离子对试剂的类型和浓度:大多数情况下,固定相中离子对试剂的浓度会影响溶质的离子交换的保留行为,而离子对试剂的类型和浓度会直接影响其在固定相中的浓度。
当想要获得一定的保留时,可以使用更低浓度的,疏水性更强的离子对试剂或者更高浓度的,疏水性更弱的离子对试剂。
当固定相中的离子对试剂达到饱和时,继续增加离子对试剂的浓度反而会降低分析物的保留,因为离子对试剂的反离子浓度增加,加大与分析物的离子交换竞争。
流动相的pH和离子对试剂的浓度的同时改变,则可以在很大程度上控制离子样品的保留范围和相对保留值。