2022-10-20
相信很多小伙伴都遇到过这类情况,色谱柱使用一段时间后相邻色谱峰分离度变差,峰形也变宽,或者在做方法开发时,目标物分离度不好。导致这类情况的原因有哪些?遇到问题后该如何排查?今天就和小伙伴们讨论交流一下。
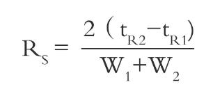
在液相色谱中,分离度Rs是色谱分离之中更重要的部分,不管色谱更终的目的是定量定性分析还是样品制备,都是在一定的分离度基础上来实现的。分离度计算公式如下: 其中,Rs表示分离度,tR2表示相邻峰中后一个峰的保留时间,tR1表示相邻峰中前一个峰的保留时间,W1和W2是两个峰在基线处的峰宽W。 色谱峰的保留时间相差越大,或者峰形越窄,就能得到更好的分离结果(分离度增加)。对于色谱分离来说,基线分离有助于获得准确的定量分析结果。两个大小接近的色谱峰,基线分离对应Rs>1.5。 造成分离度下降的主要原因有哪些? 从分离度的计算公式可以看出,造成分离度下降更直观的原因有:峰形变宽、拖尾或前延,保留时间发生变化。所以,导致分离度降低的主要原因有: 1. 色谱柱使用时间太长,柱效下降了; 2. 色谱柱或者保护柱或者系统有污染; 3. 样品被污染变质,导致峰形变宽、拖尾或前延,或出现杂峰干扰; 4. 仪器柱外死体积过大(管路太长,管路内径太大,检测器流通池体积过大等),导致柱效降低,峰形变宽; 5. 柱温的影响。 分离度降低了,该如何解决? 如果是在日常实验中,碰到分离度降低的情况,首先要排查色谱柱(包括保护柱)是否有污染或者失效,对其进行清洗或更换;其次是要排查样品污染的问题,重新配制样品进行分析;更后排查系统污染和流动相污染的问题,清洗仪器管路,更换在线过滤器并更换流动相。排除上述几种可能性,基本就能解决分离度降低的问题。 如果在方法开发过程中遇到分离度低的情形时,影响因素就有很多了,比如色谱柱类型、填料粒径、有机相的种类和比例、缓冲盐的类型和浓度、柱温、色谱柱的长度等。具体的影响以后会再和大家一一讨论。
