
2020-09-07

乙醇中挥发性杂质分析,乙醛和甲醇的峰型以及分离度是让许多客户头疼的一个问题,我们一起来探个究竟。
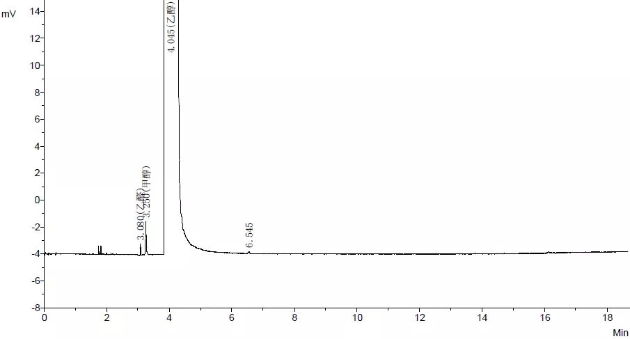
问题谱图
肩峰

对照品b(含乙醛和甲醇,溶剂是乙醇)

空白溶剂(乙醇)
对照品b分析中乙醛分叉,进空白溶剂乙醇,在乙醛出峰位置有杂质峰,建议做进样口维护,更换衬管,问题解决。
分离度问题

对照品b
对照品b分析,乙醛和甲醇同时出峰,建议降低载气流速,问题解决。
峰拖尾

对照品b
对照品b分析,乙醛和甲醇拖尾,造成两个物质之间的分离度也没达到要求,取下色谱柱重新安装后,问题解决。
分析原因

备注:进样口维护包括更换进样隔垫,清洗或更换衬管,
更换玻璃棉,清洗或更换分流平板。
标准图谱展示
![]()

1、WEL-1301 30m*0.53mm*1.8μm
PN: 01905-52004

2、白酒分析柱 30m*0.32mm*0.5μm
PN: 05941-32002
線上賭場多年专注于气相色谱柱的研发和生产,每根色谱柱在出厂前均经过严格的测试,并附有色谱柱评价报告,具有超惰性、低流失、高柱效、高选择性、稳定的重现性和长寿命等优点。
近几年線上賭場相继推出22种有机氯、37种脂肪酸、白酒成分分析等热门应用,凭借优异的产品性能和完善的售后服务体系,公司的气相色谱柱已经广泛应用于各大高校、科研院所、制药、石油化工、酿造、环境保护等各行各业。