
2021-11-26
振实密度是指粉末在振实状态下的填充密度。
振实密度是粉末物性检测的一项重要参数,是将容器中的粉末样品在某一特定频率下,向下振敲,减小粉末颗粒之间的空隙,使颗粒处于紧密状态时候的粉末密度。
药物粉末是一种干燥的、散状固体,由很多细小的颗粒组成。粉末本身并没有被广泛地用作剂型,但经常被用于其他剂型的制备,如片剂,胶囊剂和吸入剂,并经常添加至其他成分中制成半固体状,如乳剂、软膏和膏状物。粉末在制药工业中测试粉末流动性和密度测试方法的应用激增。
2020版《中国药典》0993章节
更新加入堆密度和振实密度的测试方法。

![]()

当当当当,下面要隆重介绍一下这款长着耳朵的小家伙:Copley JVi系列振实密度测试仪。

Copley JVi测试仪是市场上wei一一款满足中国药典、欧洲药典和美国药典指定的三种测试振实密度方法的仪器。
JVi系列可选择一个或两个测试位,可提供详细的报告,包括针对各种行业标准计算Hausner比率。
振实密度可通过测定固定质量样品的振实体积(第一法和第二法)或测定样品在已知容积量器中振实后的质量(第三法)求得。
咳咳,严肃一点,
下面要介绍药典检测方法了。
1 第一法 测定法
将已填充松散状态粉末的量筒固定于托架上,振实10次、500次和1250次,记录对应的体积V10、V500、V1250,并精确至更小刻度。若V500与V1250之差小于2ml,取V1250作为振实体积;若V500与V1250之差大于2ml,则增加振实次数至两次连续记录的体积之差小于2ml。如经过验证可行,应尽可能选择低振实次数。按公式m/VF计算振实密度(g/ml),式中VF为振实体积。若无法使用100g的待测粉末样品进行测定,可降低粉末取样量,采用质量为130g±16g的100ml量筒,固定在质量为240g±12g的托架上,同法操作。
取同一批样品3份,平行测定,记录读数,以平均值作为测定结果。结果报告中应说明测定条件。
2 第二法 测定法
固定振实装置的振实频率为每分钟250次,幅度应为3mm±0.2mm,照振实密度测定法(第一法),依法操作。
3 第三法 装置
测定装置如图,包括一个容积为100ml的圆柱体不锈钢量杯和杯盖。

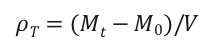
使用加盖量杯。使用适宜的振实密度测定仪,以每分钟50~60次的振实频率,使加盖量杯连续振实200次。移除杯盖,小心刮平杯顶,精密称定量杯和粉末总质量。重复上述操作,连续振实400次。若振实200次和400次所得质量差大于2%,需继续振实200次,至连续两次测定的质量差不大于2%。按下式计算:

式中 ρT为固定体积法振实密度,g/ml;
Mt为量杯和粉末总质量,g;
M0为量杯的质量,g;
V为量杯的容积,ml。
取同一批样品3份,平行测定,记录读数,以平均值作为测定结果。结果报告中应说明振实幅度、振实次数等测定条件。
下面,小编来演示一下实验的操作,小伙伴们在做实验的时候,姿势不一定要帅,动作不一定要快,必须要有严谨的实验态度,保证得出更正确的结果。
以JV200i仪器,250ml量筒第二法为例:
操作步骤
1. 将粉末倒入量筒中,注意顶部尽量水平;
2. 将量筒放置在振动平台上,旋紧卡盖;
3. 选择振动方法,设置振实次数10次;
4. 点击计算按钮,输入质量和读取的体积;
5. 继续设置振动次数500次和1250次;
6. V500和V1250体积之差<2ml,读取V1250为振实体积。
虽然上文有些已经介绍过了,但是在此,
还是要划重点!划重点!划重点!
1.Copley JVi测试仪是市场上wei一一款满足中国药典、欧洲药典和美国药典指定的三种测试振实密度方法的仪器;
2.方法切换只需选购量筒和振动平台;
3.操作方便,小伙伴们看一遍就会;
4.符合法规要求,可以提供3Q服务,包您满意;
5.咱这是英国原装,质量可靠;
6.性价比超级高哦!